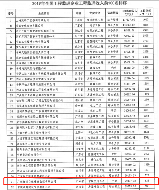
【香港商報網訊】記者 黃裕勇 報導:近日,由住建部組織編寫的《2019年建築建設工程監理統計資料匯編》正式印發,在2019年全國工程監理企業工程監理收入前100強排名中,廣州地鐵集團全資子公司廣州軌道交通建設監理有限公司(簡稱「廣州地鐵監理公司」)獲得新突破,位列全國第31位、市政專業排名第2。

歷經近25年的發展,廣州地鐵監理公司已成為多領域、多專業的綜合型工程建設監理與諮詢公司,並以廣州為依託,先後參與了南京、昆明、長沙、杭州、南京、南昌、哈爾濱、西安、蘭州、烏魯木齊、珠海、深圳、汕頭、佛山、東莞、蘇州、無錫、常州、寧波、紹興、青島、廈門、霍爾果斯、哈密等國內25個城市的工程建設,目前已經完成和正在實施的監理項目超過400個,其中包含100多個地鐵車站,逾500公里隧道和逾30公里高架橋。
廣州地鐵監理公司還先後承接【汕頭蘇埃通道】超大直徑(15.01m)跨海公路盾構隧道工程和【深圳春風】超大直徑(國內在建盾構最大直徑達15.8m)市政盾構隧道工程,大盾構技術行業領先。
此外,廣州地鐵監理公司為綜合管廊與軌道交通同步建設的廣州市中心城市地下綜合管廊(沿廣州軌道交通11號線)工程PPP項目的政府出資方代表及代建單位,被國家住建部認定為廣東省監理行業唯一一家全過程工程諮詢服務試點企業。