香港商报官网 > 黑龙江 > 本地新闻

关于龙煤集团煤炭行业淘汰落后产能关闭煤矿的公告

2018-08-22
来源:香港商报网

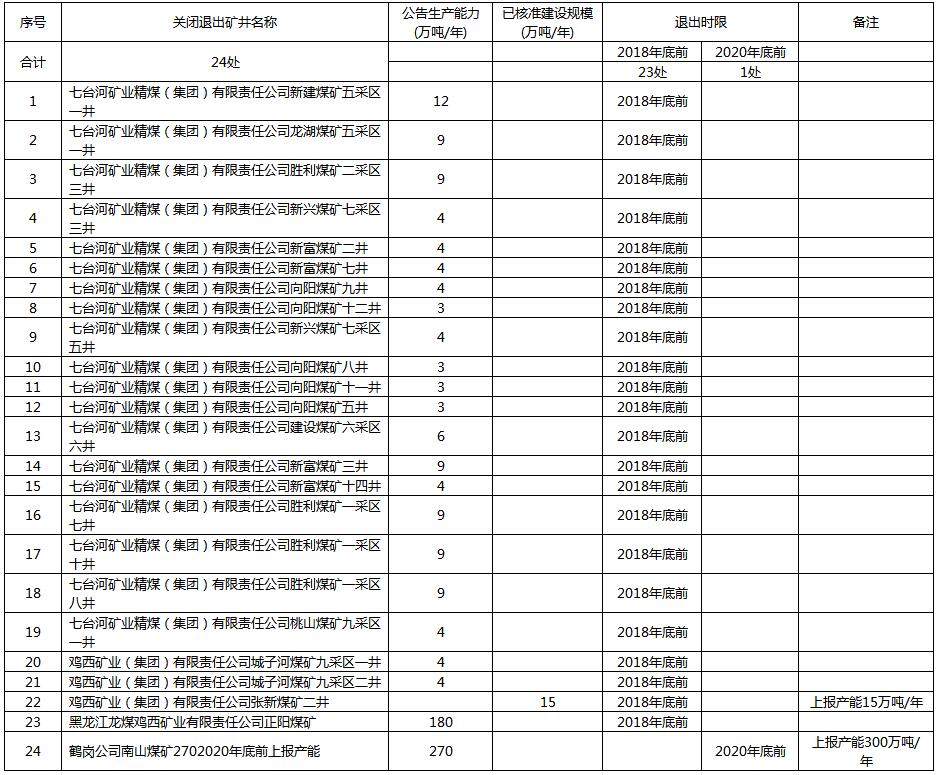
  【香港商报网讯】根据黑龙江省煤炭行业淘汰落后产能化解过剩产能专项整治工作领导小组办公室文件《关于龙煤集团煤炭行业淘汰落后产能关闭煤矿台账的批复(第一批)》之文件精神(黑煤整治办发[2018]22号),下列24处煤矿符合关闭条件,其中,2018年底前关闭23处,2020年底前关闭1处,特此公告。

  龙煤集团关闭煤矿名单

   

 

 

[责任编辑:实习生 ]
网友评论